The diagram shows the graph of a linear relation of the form
Use the graph to answer question.
Find the slope of the relation.
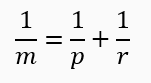
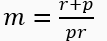
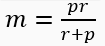
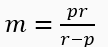
Question 2 of 40
2. Question
Make m the subject of the relation
Question 3 of 40
3. Question
The diagram shows the graph of a linear relation of the form
Use the graph to answer question.
Find the equation of the relation.
Question 4 of 40
4. Question
Two brands of air conditioners S and T cost GH₵ 3,000.00 and GH₵ 4,000.00 respectively. A company budgeted GH₵ 20,000.00 to buy air conditioners. If the company bought 5 units of brand S instead of brand T, how much did it save?
Question 5 of 40
5. Question
A number of oranges are shared among 50 students and each got 15 oranges. If the same number of oranges are shared equally among 30 students, how many will each student get?
Question 6 of 40
6. Question
A frog leaps in such a way that its distance, in metres, from its starting position after each leap is given by 4, 7, 10, …
Find its distance from the starting position after the 10th leap.
Question 7 of 40
7. Question
Madam Nancy wants to know which of the teachers in her school is liked best by most of the students. Which of the following methods is most suitable for collecting the data?
Question 8 of 40
8. Question
Andrews drew three lines such that the length of the first one is 10 cm, the second is 15 cm longer than the first one and the third is 9 cm less than the second. Find the length of the third line.
Question 9 of 40
9. Question
If the gradient of a straight line is zero, then the line
Question 10 of 40
10. Question
A hawker is carrying a basket load of three types of fruits: oranges, mangoes and pears.
If 2/5 of the fruits are oranges and 6/25 mangoes, what percentage of the fruits are pears?
Question 11 of 40
11. Question
A story book contains 50 pages. If a student reads 10 pages per hour, find the relationship between the number of unread pages (N) and time (t).
Question 12 of 40
12. Question
The point P(–2, 3) is translated by a vector
to a point R. Find the coordinates of R.
Question 13 of 40
13. Question
The cost of three items at a shop are GH₵ 72.00, GH₵ 1,105.00 and GH₵ 216.00.
If a customer bought all the three items and received a change of GH₵ 107.00, how much did he initially give the shopkeeper?
Question 14 of 40
14. Question
(Diagram of triangle PQR with ∠QPR = 30° and QR = 5 cm. Take sin 30° = 1/2.)
Find the length of PQ.
Question 15 of 40
15. Question
(Diagram showing P, Q, S, T with angles 35° and 140°; PQ parallel to ST)
In the diagram, line PQ is parallel to line ST. Find the value of the angle marked x.
Question 16 of 40
16. Question
In the diagram, P and Q are two sets and U is the universal set.
Use the information to answer question.
.
Question 17 of 40
17. Question
Find the truth set of 2x – 4< 6 + 3x
Question 18 of 40
18. Question
(Diagram showing P, Q, S, T with angles 35° and 140°; PQ parallel to ST)
If the bearing of Q from P is 120°, find the bearing of P from Q.
Question 19 of 40
19. Question
In the diagram, P and Q are two sets and U is the universal set.
Use the information to answer question.
How many members are in set Q?
Question 20 of 40
20. Question
Evaluate:
Question 21 of 40
21. Question
The table shows the results when a student tossed a die many times.
Use the information to answer question.
Find the mode.
Question 22 of 40
22. Question
Amadu walked to a point such that he is always the same distance from two villages P and Q.
Which of the following best describes the locus of Amadu?
Question 23 of 40
23. Question
Find the other factor.
Question 24 of 40
24. Question
How many times did the student throw the die?
Question 25 of 40
25. Question
The locus of points equidistant from a fixed point is called a
Question 26 of 40
26. Question
Given the vectors
find
Question 27 of 40
27. Question
Simplify:
Question 28 of 40
28. Question
Which of the following is an example of quantitative data?
Question 29 of 40
29. Question
An article which cost GH₵ 600.00 was sold at a discount of 10%. Find the selling price.
Question 30 of 40
30. Question
Araba is 3 years younger than her sister. If the sum of their ages is 17 years, find Araba’s age.
Question 31 of 40
31. Question
The area of a rectangle is 18 cm². If the width is 2 cm, find its perimeter.
Question 32 of 40
32. Question
Mansah packed 1,800 apples into a number of boxes. If each box contained 120 apples, how many boxes were fully packed?
Question 33 of 40
33. Question
There are 15 white and 25 black identical balls in a box. If a ball is selected at random from the box, find the probability that it is white.
Question 34 of 40
34. Question
Find the interest on GH₵ 400.00 for 2 years at 10% simple interest per annum.
Question 35 of 40
35. Question
Simplify:
Question 36 of 40
36. Question
Zalia and Amina shared an amount of money in the ratio 2 : 5. If Amina had GH₵ 150.00 more than Zalia, how much did they share?
Question 37 of 40
37. Question
A bus departed from Elmina at 9:15 pm and arrived in Accra at 2:45 am the next day.
How long did the journey take?
Question 38 of 40
38. Question
Find the image of the point (–3, 5) when it is rotated through 360° about the origin.
Question 39 of 40
39. Question
A fair coin and a fair die are rolled together once. Find the probability of obtaining a tail and an odd number.
Question 40 of 40
40. Question
A bag of rice weighs 2 kg. If the empty bag weighs 150 g, find the weight of the rice.
(1 kg = 1,000 g)
Login
Accessing this course requires a login. Please enter your credentials below!